Μάθημα : Οι δυνάμεις σε πέντε ενότητες
Κωδικός : G1147179
| Γενικά πολυμεσικά αρχεία | Ημερομηνία | |
|---|---|---|
| Εννοιολογικός Χάρτης για την δύναμη Δημιουργός: ΑΘΑΝΑΣΙΟΣ ΒΑΓΕΝΑΣ |
16/4/20 | |
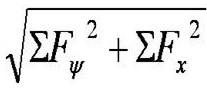
| Ο τύπος για τον υπολογισμό της ΣF Δημιουργός: ΑΘΑΝΑΣΙΟΣ ΒΑΓΕΝΑΣ |
20/4/20 | |
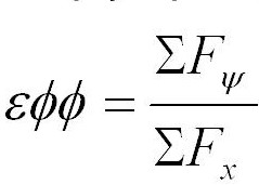
| Ο τύπος για τον υπολογισμό της εφω Δημιουργός: ΑΘΑΝΑΣΙΟΣ ΒΑΓΕΝΑΣ |
20/4/20 |